Tire Revolutions Per Mile Chart

December 04, 2025  |  Inspiration

Tire Revolutions Per Mile Chart. The price of a piece of furniture made from rare tropical hardwood does not include the cost of a degraded rainforest ecosystem, the loss of biodiversity, or the displacement of indigenous communities. Furthermore, the finite space on a paper chart encourages more mindful prioritization. It’s about understanding that a chart doesn't speak for itself. A sewing pattern is a classic and essential type of physical template.

Gallery Highlights

Understanding The Revolutions Per Mile Tire Blogger

Understanding The Revolutions Per Mile Tire Blogger

And as AI continues to develop, we may move beyond a catalog of pre-made goods to a catalog of possibilities, where an AI can design ...

Tire size chart

Tire size chart

But a treemap, which uses the area of nested rectangles to represent the hierarchy, is a perfect tool. This includes information on paper types and ...

Each tire on a car has a radius of 15 inches. The tires are rotating at

Each tire on a car has a radius of 15 inches. The tires are rotating at

Instagram, with its shopping tags and influencer-driven culture, has transformed the social feed into an endless, shoppable catalog of lifestyles. Furthermore, black and white drawing ...

Calculadora pneu online pneus calculadora visuais. Tyre size, Tires

Calculadora pneu online pneus calculadora visuais. Tyre size, Tires

Each of these charts serves a specific cognitive purpose, designed to reduce complexity and provide a clear framework for action or understanding. Moreover, drawing in ...

Tire Revolutions Per Mile Calculator Guide FuelFlowPro

Tire Revolutions Per Mile Calculator Guide FuelFlowPro

Whether as a form of artistic expression, a means of relaxation, or a way to create practical and beautiful items, knitting is a craft that ...

Tire size chart

Tire size chart

My entire reason for getting into design was this burning desire to create, to innovate, to leave a unique visual fingerprint on everything I touched. ...

Automotive tire glue

Automotive tire glue

A persistent and often oversimplified debate within this discipline is the relationship between form and function. The t-shirt design looked like it belonged to a ...

Rev Per Mile Calculator Tire Size Compare

Rev Per Mile Calculator Tire Size Compare

In addition to its artistic value, drawing also has practical applications in various fields, including design, architecture, engineering, and education. The t-shirt design looked like ...

Tire Diameter Comparison Chart

Tire Diameter Comparison Chart

Moreover, drawing is a journey of discovery and self-expression. 2 The beauty of the chore chart lies in its adaptability; there are templates for rotating ...

Trailer Tire Diameter Chart Educational Chart Resources

Trailer Tire Diameter Chart Educational Chart Resources

The effectiveness of any printable chart, regardless of its purpose, is fundamentally tied to its design. " I could now make choices based on a ...

Tire Size Gear Ratio Mph Chart Gear Ratio Ratios Chart Axle

Tire Size Gear Ratio Mph Chart Gear Ratio Ratios Chart Axle

I had to define its clear space, the mandatory zone of exclusion around it to ensure it always had room to breathe and was never ...

Revolutions Per Mile Chart

Revolutions Per Mile Chart

2 More than just a task list, this type of chart is a tool for encouraging positive behavior and teaching children the crucial life skills ...

400 Revolutions Per MileTire Fact's! automobile car fyp YouTube

400 Revolutions Per MileTire Fact's! automobile car fyp YouTube

1 Beyond chores, a centralized family schedule chart can bring order to the often-chaotic logistics of modern family life. It forces us to ask difficult ...

Semi Truck Tire Revolutions Per Mile Calculator Apartments and Houses

Semi Truck Tire Revolutions Per Mile Calculator Apartments and Houses

This free manual is written with the home mechanic in mind, so we will focus on tools that provide the best value and versatility. It ...

How Many Revolutions Per Mile for a 35 Tire

How Many Revolutions Per Mile for a 35 Tire

It returns zero results for a reasonable query, it surfaces completely irrelevant products, it feels like arguing with a stubborn and unintelligent machine. These details ...

How Many Revolutions Per Mile for a 35 Tire

How Many Revolutions Per Mile for a 35 Tire

No idea is too wild. Happy wrenching, and may all your repairs be successful.

JonpaulEmme

JonpaulEmme

I thought design happened entirely within the design studio, a process of internal genius. This single component, the cost of labor, is a universe of ...

New RPM/MPH & Tire Size/Gearing Calculators on RHN Ford Truck

New RPM/MPH & Tire Size/Gearing Calculators on RHN Ford Truck

And crucially, these rooms are often inhabited by people. The user review system became a massive, distributed engine of trust.

Tire Revolutions Per Mile Chart Quick Chart Maker

Tire Revolutions Per Mile Chart Quick Chart Maker

This resurgence in popularity has also spurred a demand for high-quality, artisan yarns and bespoke crochet pieces, supporting small businesses and independent makers. A database, ...

Gear Ratio Chart For Go Kartstire Size Gear Ratio Chart

Gear Ratio Chart For Go Kartstire Size Gear Ratio Chart

The sample would be a piece of a dialogue, the catalog becoming an intelligent conversational partner. In 1973, the statistician Francis Anscombe constructed four small ...

Conversion Chart Tire Size Comparison Tire Size Conversions, 51 OFF

Conversion Chart Tire Size Comparison Tire Size Conversions, 51 OFF

Practice one-point, two-point, and three-point perspective techniques to learn how objects appear smaller as they recede into the distance. This process of "feeding the beast," ...

Do The Math Tire Revolutions per Mile The Forums

Do The Math Tire Revolutions per Mile The Forums

Ink can create crisp, bold lines, while colored pencils add vibrancy and depth to your work. The hands-free liftgate is particularly useful when your arms ...

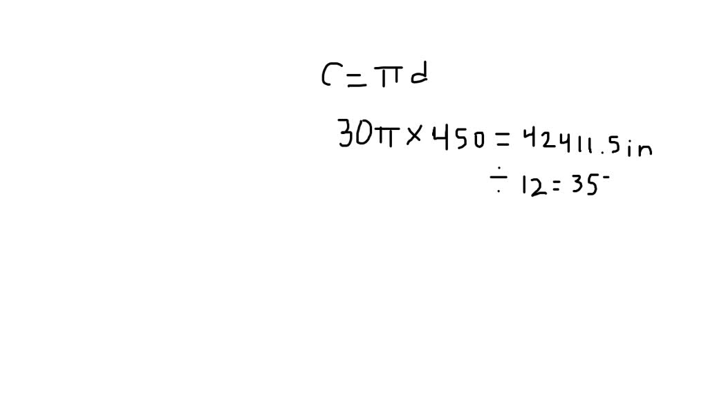
Example Determine the Number of Revolutions Per Second of a Car Tire

Example Determine the Number of Revolutions Per Second of a Car Tire

It is imperative that this manual be read in its entirety and fully understood before any service or repair action is undertaken. Unlike structured forms ...

Tire Revolutions Per Mile Calculator Guide FuelFlowPro

Tire Revolutions Per Mile Calculator Guide FuelFlowPro

The printable chart is also an invaluable asset for managing personal finances and fostering fiscal discipline. Ultimately, perhaps the richest and most important source of ...

Tire Revolutions Per Mile Chart Quick Chart Maker

Tire Revolutions Per Mile Chart Quick Chart Maker

This stream of data is used to build a sophisticated and constantly evolving profile of your tastes, your needs, and your desires. There is no ...

The maintenance schedule provided in the "Warranty & Maintenance Guide" details the specific service intervals required, which are determined by both time and mileage. " When you’re outside the world of design, standing on the other side of the fence, you imagine it’s this mystical, almost magical event. But Tufte’s rational, almost severe minimalism is only one side of the story. This great historical divergence has left our modern world with two dominant, and mutually unintelligible, systems of measurement, making the conversion chart an indispensable and permanent fixture of our global infrastructure. The very existence of the conversion chart is a direct consequence of the beautifully complex and often illogical history of measurement. It is a mindset that we must build for ourselves.