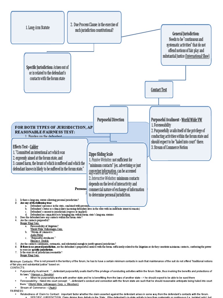
Personal Jurisdiction Chart

December 04, 2025  |  Inspiration

Personal Jurisdiction Chart. Brake dust can be corrosive, so use a designated wheel cleaner and a soft brush to keep them looking their best. Sustainability is another area where patterns are making an impact. In the contemporary professional landscape, which is characterized by an incessant flow of digital information and constant connectivity, the pursuit of clarity, focus, and efficiency has become a paramount strategic objective. It’s about understanding that the mind is not a muscle that can be forced, but a garden that needs to be cultivated and then given the quiet space it needs to grow.

Gallery Highlights

Best Personal Jurisdiction (or In Personam Jurisdiction) Legal Term

Best Personal Jurisdiction (or In Personam Jurisdiction) Legal Term

From the quiet solitude of a painter’s studio to the bustling strategy sessions of a corporate boardroom, the value chart serves as a compass, a ...

Civil Procedure Personal Jurisdiction Flow Chart

Civil Procedure Personal Jurisdiction Flow Chart

It is a mirror reflecting our values, our priorities, and our aspirations. This experience taught me to see constraints not as limitations but as a ...

Civil procedure personal jurisdiction flowchart pdf minimum contacts

Civil procedure personal jurisdiction flowchart pdf minimum contacts

The only tools available were visual and textual. When you can do absolutely anything, the sheer number of possibilities is so overwhelming that it’s almost ...

Essential Personal Jurisdiction Flowchart Guide

Essential Personal Jurisdiction Flowchart Guide

We can perhaps hold a few attributes about two or three options in our mind at once, but as the number of items or the ...

Jurisdiction and Venue (Notes & Practice Questions) MBE Examples

Jurisdiction and Venue (Notes & Practice Questions) MBE Examples

My problem wasn't that I was incapable of generating ideas; my problem was that my well was dry. So, where does the catalog sample go ...

Subject Matter Jurisdiction Flow Chart Subject Matter Jurisdiction

Subject Matter Jurisdiction Flow Chart Subject Matter Jurisdiction

The online catalog, in becoming a social space, had imported all the complexities of human social dynamics: community, trust, collaboration, but also deception, manipulation, and ...

Jurisdiction chart Jurisdiction Constitutional Law

Jurisdiction chart Jurisdiction Constitutional Law

A satisfying "click" sound when a lid closes communicates that it is securely sealed. This is why an outlier in a scatter plot or a ...

Civil Procedure Personal Jurisdiction Flow Chart

Civil Procedure Personal Jurisdiction Flow Chart

Professional design is an act of service. Lane Departure Warning helps ensure you only change lanes when you mean to.

Civil Procedure Personal Jurisdiction Flow Chart

Civil Procedure Personal Jurisdiction Flow Chart

This idea of the template as a tool of empowerment has exploded in the last decade, moving far beyond the world of professional design software. ...

Personal Jurisdiction Flowchart Flow Chart Design, Flow Chart Template

Personal Jurisdiction Flowchart Flow Chart Design, Flow Chart Template

This forced me to think about practical applications I'd never considered, like a tiny favicon in a browser tab or embroidered on a polo shirt. ...

Civil Procedure Personal Jurisdiction Flow Chart

Civil Procedure Personal Jurisdiction Flow Chart

Each choice is a word in a sentence, and the final product is a statement. He created the bar chart not to show change over ...

Personal jurisdiction flowchart general pdf minimum contacts personal

Personal jurisdiction flowchart general pdf minimum contacts personal

Please read this manual carefully before operating your vehicle. 18 The physical finality of a pen stroke provides a more satisfying sense of completion than ...

Personal Jurisdiction Flow Chart General Personal Jurisdiction

Personal Jurisdiction Flow Chart General Personal Jurisdiction

A digital file can be printed as a small postcard or a large poster. While the "free" label comes with its own set of implicit ...

Jurisdiction Chart PERSONAL JURISDICTION Methods by which Plaintiff

Jurisdiction Chart PERSONAL JURISDICTION Methods by which Plaintiff

Once all internal repairs are complete, the reassembly process can begin. To engage with it, to steal from it, and to build upon it, is ...

CivPro Personal Jurisdiction Flow Chart PDF

CivPro Personal Jurisdiction Flow Chart PDF

This corner of the printable world operates as a true gift economy, where the reward is not financial but comes from a sense of contribution, ...

Personal Jurisdiction Flowchart Minimum Contacts Personal Jurisdiction

Personal Jurisdiction Flowchart Minimum Contacts Personal Jurisdiction

26The versatility of the printable health chart extends to managing specific health conditions and monitoring vital signs. A web designer, tasked with creating a new ...

Personal Jurisdiction The Basic Principles PDF Minimum Contacts

Personal Jurisdiction The Basic Principles PDF Minimum Contacts

It’s an iterative, investigative process that prioritizes discovery over presentation. 9 This active participation strengthens the neural connections associated with that information, making it far ...

Personal Jurisdiction Intro F24 1 PDF Personal Jurisdiction

Personal Jurisdiction Intro F24 1 PDF Personal Jurisdiction

From its humble beginnings as a tool for 18th-century economists, the chart has grown into one of the most versatile and powerful technologies of the ...

Personal Jurisdiction in the Age TALG®

Personal Jurisdiction in the Age TALG®

This catalog sample is not a mere list of products for sale; it is a manifesto. Challenge yourself to step out of your comfort zone ...

Civil Procedure Personal Jurisdiction Flow Chart

Civil Procedure Personal Jurisdiction Flow Chart

Let us examine a sample page from a digital "lookbook" for a luxury fashion brand, or a product page from a highly curated e-commerce site. ...

personal jurisdiction and diversity flowcharts Civil procedure, Law

personal jurisdiction and diversity flowcharts Civil procedure, Law

The powerful model of the online catalog—a vast, searchable database fronted by a personalized, algorithmic interface—has proven to be so effective that it has expanded ...

Personal Jurisdiction Case Law Summary

Personal Jurisdiction Case Law Summary

We can hold perhaps a handful of figures in our working memory at once, but a spreadsheet containing thousands of data points is, for our ...

Personal Jurisdiction Flowchart PERSONAL JURISDICTION Statutory Basis

Personal Jurisdiction Flowchart PERSONAL JURISDICTION Statutory Basis

The Enduring Relevance of the Printable ChartIn our journey through the world of the printable chart, we have seen that it is far more than ...

Personal Jurisdiction Chart Download Free PDF Minimum Contacts

Personal Jurisdiction Chart Download Free PDF Minimum Contacts

Take note of how they were installed and where any retaining clips are positioned. The first and probably most brutal lesson was the fundamental distinction ...

Personal Jurisdiction Flowchart

Personal Jurisdiction Flowchart

102 In the context of our hyper-connected world, the most significant strategic advantage of a printable chart is no longer just its ability to organize ...

There is a growing recognition that design is not a neutral act. The modern computer user interacts with countless forms of digital template every single day. The level should be between the MIN and MAX lines when the engine is cool. The world is drowning in data, but it is starving for meaning. Its close relative, the line chart, is the quintessential narrator of time. Exploring the world of the free printable is to witness a fascinating interplay of generosity, commerce, creativity, and utility—a distinctly 21st-century phenomenon that places the power of production directly into the hands of anyone with an internet connection and a printer.