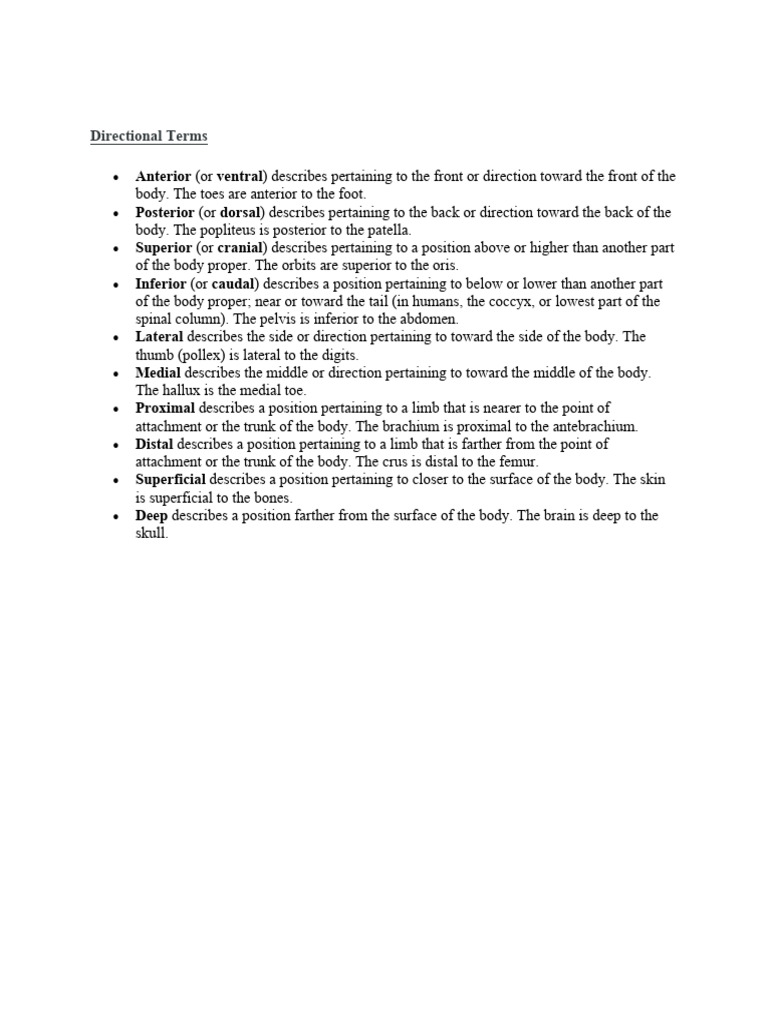
Directional Terms Chart

December 04, 2025  |  Inspiration

Directional Terms Chart. The amateur will often try to cram the content in, resulting in awkwardly cropped photos, overflowing text boxes, and a layout that feels broken and unbalanced. In these future scenarios, the very idea of a static "sample," a fixed page or a captured screenshot, begins to dissolve. At first, it felt like I was spending an eternity defining rules for something so simple. It has made our lives more convenient, given us access to an unprecedented amount of choice, and connected us with a global marketplace of goods and ideas.

Gallery Highlights

1.6 Anatomical TerminologyDirectional Terms Diagram Quizlet

1.6 Anatomical TerminologyDirectional Terms Diagram Quizlet

There is often very little text—perhaps just the product name and the price. This combination creates a powerful cycle of reinforcement that is difficult for ...

Video Directional Terms

Video Directional Terms

They are acts of respect for your colleagues’ time and contribute directly to the smooth execution of a project. The print catalog was a one-to-many ...

Directional terms Diagram Quizlet

Directional terms Diagram Quizlet

It was a secondary act, a translation of the "real" information, the numbers, into a more palatable, pictorial format. The table is a tool of ...

Anatomy Directional Terms Practice Worksheet Answers Printable

Anatomy Directional Terms Practice Worksheet Answers Printable

96 A piece of paper, by contrast, is a closed system with a singular purpose. We stress the importance of working in a clean, well-lit, ...

Anatomical Directional Terms Practice

Anatomical Directional Terms Practice

Reading this manual in its entirety will empower you with the knowledge to enjoy many years of safe and pleasurable driving. The goal is to ...

Directional Terms Anatomical Orientation And Directions Human

Directional Terms Anatomical Orientation And Directions Human

A chart is, at its core, a technology designed to augment the human intellect. A more expensive piece of furniture was a more durable one.

Directional Terms Practice Directional Terms Practice Complete

Directional Terms Practice Directional Terms Practice Complete

It allows the user to move beyond being a passive consumer of a pre-packaged story and to become an active explorer of the data. There ...

Directional Terms Anatomical Orientation And Directions Human

Directional Terms Anatomical Orientation And Directions Human

To learn the language of the chart is to learn a new way of seeing, a new way of thinking, and a new way of ...

Anatomical Terms Directional Terms Worksheet Printable Word Searches

Anatomical Terms Directional Terms Worksheet Printable Word Searches

He famously said, "The greatest value of a picture is when it forces us to notice what we never expected to see. The procedures outlined ...

Anatomical Directional Terms Diagram

Anatomical Directional Terms Diagram

The chart was born as a tool of economic and political argument. We are pattern-matching creatures.

Orientation And Directional Terms Anatomy Diagram Quizlet

Orientation And Directional Terms Anatomy Diagram Quizlet

Exploring Different Styles and Techniques Selecting the appropriate tools can significantly impact your drawing experience. In 1973, the statistician Francis Anscombe constructed four small datasets.

SOLUTION Directional terms ans key docx Studypool Worksheets Library

SOLUTION Directional terms ans key docx Studypool Worksheets Library

So whether you're a seasoned artist or a curious beginner, why not pick up a pencil or a pen and explore the beauty of black ...

Directional Terms Diagram Quizlet

Directional Terms Diagram Quizlet

The layout is a marvel of information design, a testament to the power of a rigid grid and a ruthlessly consistent typographic hierarchy to bring ...

Directional Terms Worksheet (Anatomy, Biology, Health Sciences

Directional Terms Worksheet (Anatomy, Biology, Health Sciences

29 A well-structured workout chart should include details such as the exercises performed, weight used, and the number of sets and repetitions completed, allowing for ...

Anatomical Directional Terms and Body Planes

Anatomical Directional Terms and Body Planes

The first principle of effective chart design is to have a clear and specific purpose. The accompanying text is not a short, punchy bit of ...

Worksheet Of Directional Terms Used In Anatomy And Medicine Anatomy

Worksheet Of Directional Terms Used In Anatomy And Medicine Anatomy

This is the quiet, invisible, and world-changing power of the algorithm. The ambient lighting system allows you to customize the color and intensity of the ...

1) Directional terms Diagram Quizlet

1) Directional terms Diagram Quizlet

Art Communities: Join local or online art communities where you can share your work, get feedback, and connect with other artists. On the company side, ...

Directional Terms Diagram Quizlet

Directional Terms Diagram Quizlet

The future is, in many exciting ways, printable. The stark black and white has been replaced by vibrant, full-color photography.

Directional Terms PDF

Directional Terms PDF

You can monitor the progress of the download in your browser's download manager, which is typically accessible via an icon at the top corner of ...

Anatomical Directional Terms

Anatomical Directional Terms

With your foot firmly on the brake pedal, press the engine START/STOP button. If you experience a flat tire, pull over to a safe location, ...

Identifying Directional Terms

Identifying Directional Terms

The layout itself is being assembled on the fly, just for you, by a powerful recommendation algorithm. I had treated the numbers as props for ...

lab chapter 1 directional terminology labeling chart Diagram Quizlet

lab chapter 1 directional terminology labeling chart Diagram Quizlet

They arrived with a specific intent, a query in their mind, and the search bar was their weapon. Once the old battery is removed, prepare ...

Orientation and Directional Terms Diagram Quizlet

Orientation and Directional Terms Diagram Quizlet

A chart was a container, a vessel into which one poured data, and its form was largely a matter of convention, a task to be ...

Directional Terms Foundations of Human Anatomy Macanatomy

Directional Terms Foundations of Human Anatomy Macanatomy

Understanding the deep-seated psychological reasons a simple chart works so well opens the door to exploring its incredible versatility. Make sure there are no loose ...

Directional Terms PDF

Directional Terms PDF

They don't just present a chart; they build a narrative around it. A low or contaminated fluid level is a common cause of performance degradation.

The sonata form in classical music, with its exposition, development, and recapitulation, is a musical template. Research conducted by Dr. With this core set of tools, you will be well-equipped to tackle almost any procedure described in this guide. In an age where our information is often stored in remote clouds and accessed through glowing screens, the printable offers a comforting and empowering alternative. I see it as one of the most powerful and sophisticated tools a designer can create. We see it in the taxonomies of Aristotle, who sought to classify the entire living world into a logical system.